Tuyển chọn các đề toán thi vào lớp 10

Chuyên mục: Tuyển sinh
Tác giả: Huỳnh Quang Lâu
Xuất bản năm: 2006
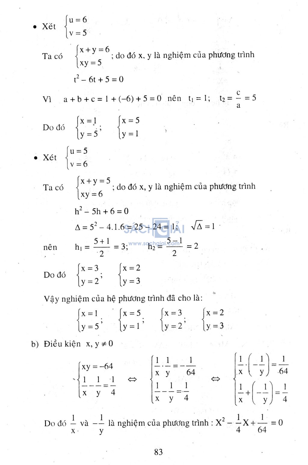
Giới thiệu: Tuyển chọn các đề toán thi vào lớp 10 của một số tỉnh thành trong cả nước. Đề thi có cấu trúc hai phần: Trắc nghiệm và tự luận. Sách được chia ra làm 4 phần:Phần 1: Tuyển chọn các đề thi tốt nghiệp THCSPhần 2: Tuyển chọn các đề thi vào lớp 10Phần 3: Các đề tham khảoPhần 4: Các đề thi theo chương trình sách mới
 

  Ý kiến bạn đọc

Kênh Bóng đá trực tiếp hôm nay miễn phí ⇔ Kênh 90Phut TV full HD ⇔ 888new ⇔ HM88 ⇔ F168 ⇔ 123b ⇔ 566 ⇔ Vmax ⇔ 78Win ⇔ https://xn88.bio/ ⇔ GK88 ⇔ SHBET ⇔ 78win ⇔ u888 ⇔ 66b ⇔ fo88vic88 ⇔ u888 ⇔ 888p ⇔ BL555 ⇔ 99OK ⇔ f168 ⇔ Link MB66 ⇔ mv66af88 ⇔ 8x bet ⇔ 789BET ⇔ LC88 ⇔ 789f ⇔ 999slot ⇔ 789F ⇔ MB66 ⇔ 8xbet ⇔ https://789betcom0.com/ ⇔ https://hi88.baby/ ⇔ 789BET ⇔ au88 ⇔ go8 ⇔ https://xx88.ink/ ⇔ zo88 ⇔ ev99 ⇔ go88 ⇔ cm88 ⇔ 88aa ⇔ Kkwin ⇔ tv88 ⇔ 89bet ⇔ mb66.racing ⇔ 88go ⇔ 88xx ⇔ 188v ⇔ f168 ⇔ QQ88 ⇔ bk8 ⇔ bk8 ⇔ 99ok ⇔ f168 ⇔ iwinclub ⇔ vn88 ⇔ 69vn ⇔ m88 ⇔ 56win ⇔ RWIN ⇔ 888new ⇔ BL555 ⇔ hi88 ⇔ https://fun88.social/ ⇔ thabet ⇔ https://vnalo789c.com/ ⇔ https://qq88.fun/888New daga ⇔ SHBET ⇔ keo nha cai https://bshbet.com/ ⇔ https://uk88.rocks ⇔ kkwin ⇔ KUWIN ⇔ RR88 ⇔ 188v ⇔ mb6678win ⇔ https://hello8880.net/ ⇔ tv88UU88 ⇔ HM88 ⇔ mb 66 ⇔ TV88 ⇔ NOHU ⇔ 77ball ek333 ⇔ xoso66 X88 ⇔ 78win ⇔ Jun88 ⇔ uu88 ⇔ tt88 ⇔ 88i ⇔ KINGFUN ⇔ https://789club24.com/ ⇔ https://98winlive.com/ ⇔ Game bài đổi thưởng ⇔ https://bet88yk.com/ ⇔ https://alo789apk.app/ ⇔ https://33win100.com/ ⇔ https://u888ny.com/ ⇔ alo789 ⇔ OK8386 ⇔ x88 ⇔ SHBET ⇔ https://hi88.voyage/ ⇔ https://79kings.blue/ ⇔ https://dom88.jp.net/ ⇔ https://hello880.net/ ⇔ https://789club60.com/ ⇔ https://blc88.net/ ⇔ 23win ⇔ uu88 ⇔ xoso66 ⇔ bomwin ⇔ nhatvip ⇔ https://789club24.com/ ⇔ 789 bet ⇔ dola789 ⇔ 8xbet XX88 ⇔ 69vn ⇔ rr88 ⇔ rr88 ⇔ Uu88 ⇔ win456 ⇔ Tài xỉu online ⇔ XN88 ⇔ https://33win101.com/ ⇔ Slot365 ⇔ 78wind.com ⇔ bet88 ⇔ XX88 ⇔ VN88 ⇔ 789BET ⇔ OKFUN hitclub ⇔ Kkwin ⇔ VankhanhTV ⇔ XN88 ⇔ 3WIN ⇔ WIN678 ⇔ KUWIN ⇔ 58WIN ⇔ 68 game bài ⇔ https://taixiu88.pro/ ⇔ 888new.lol ⇔ OK9 ⇔ K8CC ⇔ https://hi88o.com/ ⇔ https://hi88.gives/ ⇔ 68 game bài ⇔ https://shbetk.net/ ⇔ RIKVIP ⇔ rikvip ⇔ https://mm88.us.com/ ⇔ 79king ⇔ ww88 ⇔ https://78win.bot/ https://lc88o.com/ ⇔ https://hi88.uno/ ⇔ https://58win1.info/ ⇔ j88 ⇔ j88 ⇔ 69vn ⇔ Slot365 ⇔ alo88 ⇔ UU88 888TO ⇔ wstar77 ⇔ 73bet ⇔ 888b ⇔ 11uu ⇔ 78win ⇔ Slot365 ⇔ 789f ⇔ mv88 ⇔ 789f ⇔ Bsport ⇔ 888New ⇔ EV99 ⇔ u88 ⇔ sunwin ⇔ tỷ lệ kèo nhà cái hôm nay ⇔ BIN88 ⇔ https://f8bet0.world ⇔ https://qq88.studio/ ⇔ https://nh8811.com/ ⇔ Leo88 ⇔ 78win ⇔ EV99 ⇔ 3win ⇔ https://cakhiatv88.net/ hi88 ⇔ 888To ⇔ 789pu.comhi88 ⇔ au88 ⇔ bet88 ⇔ 555WIN ⇔ https://f168hi.com/ ⇔ sv66ax88 ⇔ 88clb https://32win.vc/ ⇔ PG88 ⇔ PG88 ⇔ EE88 ⇔ SanClub ⇔ F168 ⇔ QQ88 ⇔ hb88 ⇔ Vin777 ⇔ SV388 ⇔ 23WIN ⇔ https://vankhanhtvv.com/ ⇔ Nhà Cái LC88 ⇔ https://sv66.coupons/ ⇔ https://f168.tech/ ⇔ https://8kbetbh.com/ ⇔ https://ta88club.kim/ mv88 ⇔ https://rr88.com.se/ ⇔ https://bet168.com.co/ ⇔ https://8kbet.co/ ⇔ https://sunwinn.deal/ ⇔ 88gokingfun ⇔ https://bong88vn.wiki/ ⇔ SHBET ⇔ https://shbet.racing/ ⇔ RR99 ⇔ U888 ⇔ OK8386 ⇔ Mv88 ⇔ MM88 ⇔ 33win ⇔ BL555 ⇔ 69vn ⇔ hi88com ⇔ https://w88link1.com/ ⇔ xocdia88 ⇔ 77ball ⇔ vuabet88 ⇔ betvisa ⇔ KJC ⇔ Go8 ⇔ thabet ⇔ BET88 ⇔ 58Win ⇔ 69VN ⇔ 789win ⇔ 89bet ⇔ 6ff ⇔ https://luck8.ph/ ⇔ 888slot ⇔ 566 ⇔ https://qq88.co.com/ ⇔ https://j888.us.com/ ⇔ hm88 ⇔ ww88 ⇔ 789WIN ⇔ W88 ⇔ UU88 ⇔ Lc 88 ⇔ TD88 ⇔ https://nohu90i.net/ ⇔ 78Win ⇔ 33win ⇔ https://okwins.vip/ ⇔ 122bet ⇔ 881bet ⇔ Trực tiếp bóng đá xoilac ⇔ e2bet ⇔ F168 ⇔ https://fun88link0.com/ ⇔ https://fun88link1.com/ ⇔ https://188betlink0.com/ ⇔ https://188betlink1.com/ ⇔ https://188betlink2.com/ ⇔ https://w88link0.com/ ⇔ thabet ⇔ 888P ⇔ 11UU ⇔ EV88 ⇔ 789F ⇔ 69vn77win ⇔ xx88 ⇔ 78win ⇔ https://okfun.bz/ ⇔ https://daga88.beer/ ⇔ QQ88 ⇔ https://i9betz4.com/ ⇔ Kuwin ⇔ w88link2.com ⇔ w88link3.com ⇔ 32WIN ⇔ https://8dayvip.mobi/ ⇔ https://8dayvip.com/ ⇔ 86bet ⇔ t88 ⇔ af88 ⇔ U888 ⇔ 86bet ⇔ https://pg99yk.com/ ⇔ https://u888wl.com/ ⇔ 89bet ⇔ 888new ⇔ 88AA ⇔ GK88 ⇔ https://78wincom.net/ ⇔ GO99 ⇔ BET88 ⇔ 99win ⇔ TT88 ⇔ https://8kbettt.com/ ⇔ https://86bet.tech/ ⇔ https://789betca.com/ ⇔ https://fly88.gifts/ ⇔ lc88 ⇔ VN88 ⇔ 69vn ⇔ nh88 ⇔ vn88 ⇔ tv88 ⇔ 88vv ⇔ sv388 ⇔ KWIN ⇔ tỷ lệ kèo nhà cái 88 ⇔ PG66 ⇔ 68win SV388 ⇔ SHBET ⇔ hitclub ⇔ MAX79 ⇔ UU88 ⇔ HM88 ⇔ TV88 ⇔ https://bet88.ventures/ zx88 ⇔ ev99 https://f168.name/ ⇔ https://13wincom.io/ ⇔ Nhà cái vn88 https://fb888.in.net/ ⇔ https://kjc.ac/ ⇔ https://onbet.in.net/ ⇔ link vn88 ⇔ HZ88 ⇔ http://58win.trading/ ⇔ https://qq88.gives/ ⇔ bong88 ⇔ sky88 ⇔ Cổng game rikvip ⇔ ev99 ⇔ 79KING ⇔ Bet88 ⇔ XN88 ⇔ i9bet ⇔ VN23 ⇔ https://kkwin.fan/ ⇔ https://555win.bike/ ⇔ https://f8bet.courses/ ⇔ https://go8play.com/ ⇔ https://lc88.bar/ ⇔ 789f ⇔ abc8 ⇔ good88 ⇔ 789win ⇔ Hitclub ⇔ https://f8bet80.one/ ⇔ lương sơn tv ⇔ vwin ⇔ sut88 ⇔ vua88 ⇔ hb88 ⇔ https://okfun.center/ ⇔ 68win ⇔ LC88 ⇔ 79king ⇔ https://hi88.tours/ ⇔ https://ok9.charity/ ⇔ https://kkwin68.info/ ⇔ https://ee88com.me/ ⇔ https://new88blog.org ⇔ nổ hũ ⇔ https://uu88vn.com ⇔ nhà cái LC88 ⇔ nohu ⇔ lc88 com ⇔ 69VN ⇔ Ok365 ⇔ 6FF ⇔ Nohu90 ⇔ go8 ⇔ 22vip ⇔ af88 ⇔ 86bet ⇔ five88 ⇔ 68win ⇔ 11uu ⇔ https://go8.beer/ ⇔ đánh bài tiến lên ⇔ sin88 ⇔ 9win ⇔ 88i ⇔ https://u888.ac/ ⇔ https://king88com.uk.net/ ⇔ https://shbet.gg/ ⇔ LC88 ⇔ OKKING ⇔ 13win ⇔ https://88fc0.com/ ⇔ abc8 ⇔ U888 ⇔ https://s666.garden ⇔ https://fly88.select/ ⇔ https://bk8co.net/ ⇔ bet88 ⇔ F168 ⇔ https://qq8876.net/ ⇔ hi88s com ⇔ f168 ⇔ https://88xx.mobi/ ⇔ bet88 ⇔ 88clb ⇔ GO8 ⇔ https://qq88.social/ ⇔ LC88 ⇔ https://j88vm.com/ ⇔ https://78winvina.com/ ⇔ https://luongson161.tv/ ⇔ https://okfun.cfd/ ⇔ https://keonhacai.deals/ ⇔ https://j88com.today/ ⇔ 28bet ⇔ MB66 ⇔ https://mk8th.net/ ⇔ https://58win.faith/ ⇔ Jun88 ⇔ 188v ⇔ https://s8.surf/ ⇔ https://jun88.school/ ⇔ https://qq887p.com/ ⇔ https://hi88.biz/ ⇔ https://mk8.ac/ ⇔ 78win ⇔ motphimchill ⇔ SHBET ⇔ x88 ⇔ https://mb668.co/ ⇔ https://f168.law/ ⇔ https://saobet.shop/ ⇔ win678 ⇔ https://8kbetnh.com/ ⇔ https://j8kbet.com/ ⇔ 33win ⇔ https://xx88tv.com/ ⇔ i9 Bet ⇔ kèo nhà cái ⇔ S666 ⇔ BL555 ⇔ max79 ⇔ bl-555.site ⇔ https://8scom.dev/ ⇔ https://f168.studio/ ⇔ au88 ⇔ lc88 ⇔ https://tp88.help/ ⇔ 8kbet ⇔ TT88 ⇔ ev99 ⇔ vn168 ⇔ U888 ⇔ okking ⇔ j88 ⇔ https://32win.football/ ⇔ 789P ⇔ 28bet ⇔ 32 win ⇔ https://nohu.com.mx/ ⇔ https://789fnew.com/ ⇔ xin88 ⇔ 88GO ⇔ tv88 ⇔ LC88 ⇔ https://five88.meme/ ⇔ https://13win.vegas/
 ⇔ S8 ⇔ 32win ⇔ Kuwin ⇔ https://hitclubhq.com/ ⇔ au88 ⇔ au88 ⇔ go99 ⇔ fc88 ⇔ https://qq88.media/ ⇔ 888vi ⇔ https://keonhacai1.us.com/ ⇔ 68 game bài ⇔ tt88 ⇔ mn88 ⇔ https://789winst.com/ ⇔ BL555 ⇔ HM88 ⇔ LC88 ⇔ QQ88 ⇔ mb66 ⇔ 88AA ⇔ aalo789 ⇔ PG99 ⇔ PG88 ⇔ QQ88 ⇔
Bạn đã không sử dụng Site, Bấm vào đây để duy trì trạng thái đăng nhập. Thời gian chờ: 60 giây