Trình duyệt của bạn đã tắt chức năng hỗ trợ JavaScript.
Website chỉ làm việc khi bạn bật nó trở lại.
Để tham khảo cách bật JavaScript, hãy click chuột
vào đây
!
Đăng nhập
SÁCH
Truyện
Thơ
Âm nhạc
Công dân
Công nghệ
Địa lí
Hoá học
Lịch sử
Mĩ thuật
Ngoại ngữ
Sinh học
Thể dục
Tin học
Toán học
Văn học
Vật lí
Tử vi
Tuyển sinh
MÔN HỌC
VĂN BẢN
LIÊN HỆ
VNEDU
ZALO WEB
TÌM KIẾM
Trang nhất
Toán học
Thứ hai, 18/05/2026, 12:14
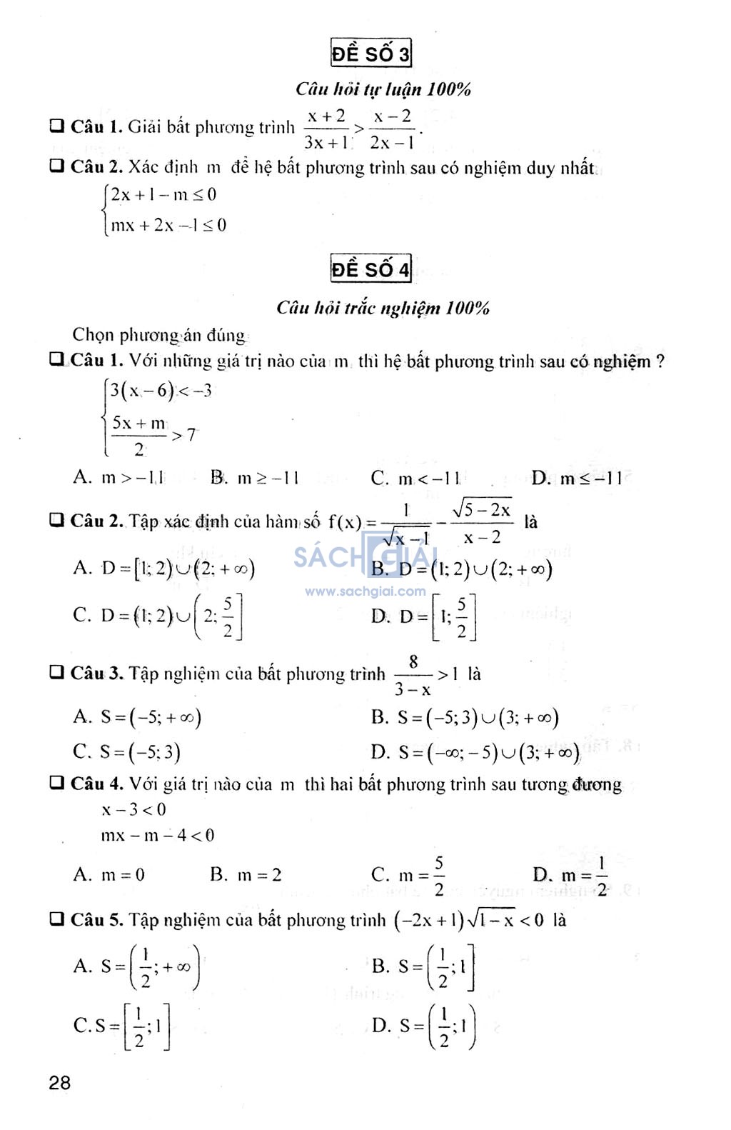
Đề kiểm tra Toán 10
Chuyên mục:
Toán học
Tác giả:
Nguyễn Hữu Nhân
Nhà xuất bản:
Đại học sư phạm
Xuất bản năm: 2010
Giới thiệu: Đề kiểm tra Toán 10 gồm các bài kiểm tra 15 phút, 1 tiết, học kì. Mỗi bài kiểm tra đều có đáp án và hướng dẫn giải.
«
25
26
27
29
30
31
»
[+]
«
25
26
27
29
30
31
»
[+]
Ý kiến bạn đọc
Sắp xếp theo bình luận mới
Sắp xếp theo bình luận cũ
Sắp xếp theo số lượt thích
Sách cùng chuyên mục
Bài tập Hình học 10 nâng cao
Bài tập Đại Số 10 nâng cao
Trắc nghiệm khách quan Giáo dục công dân 10
1299 Câu trắc nghiệm Lịch Sử 10
Giải nhanh trắc nghiệm Hoá 10
Bài tập trắc nghiệm Toán 10
Bài tập Hoá học 10 nâng cao
Kiến thức cơ bản Sinh học 10
SÁCH THEO LỚP
Lớp 1
Lớp 2
Lớp 3
Lớp 4
Lớp 5
Lớp 6
Lớp 7
Lớp 8
Lớp 9
Lớp 10
Lớp 11
Lớp 12
Tuyển sinh
Thơ
Truyện
Tử vi
MÔN THEO LỚP
Lớp 1
Lớp 2
Lớp 3
Lớp 4
Lớp 5
Lớp 6
Lớp 7
Lớp 8
Lớp 9
Lớp 10
Lớp 11
Lớp 12
Trung cấp
Cao đẳng
Đại học
SHBET
⇔
78win
⇔
789BET
⇔
https://789betcom0.com/
⇔
https://hi88.baby/
⇔
https://fun88.social/
⇔
https://bshbet.com/
⇔ https://uk88.rocks
⇔
RR88
⇔
https://hello8880.net/
⇔
MB 66
⇔
https://789club24.com/
⇔
bomwin
⇔
https://789club24.com/
⇔
789BET
⇔
https://78win.bot/
⇔
https://58win1.info/
⇔
go88
⇔
78win
⇔
BIN88
⇔
https://rr88.com.se/
⇔
78win
⇔
VN88
⇔
https://kjc.ac/
⇔
https://keonhacai.deals/
⇔
https://32win.vc/
⇔
https://rr88a.us.com/
⇔
https://go88.tokyo/
⇔
https://go88club4.com/
⇔
https://sunwin.talk/
⇔
uy88
⇔
https://hitclub1.bz/
⇔
https://sunwinn.team/
⇔
xx88.space
⇔
https://hi88.gives/
⇔
https://hitclub.website/
⇔
mm88.it.com
⇔
https://bet88yk.com/
⇔
https://qq88.to/
⇔
https://cm88.info/
⇔
MB66
⇔
https://33wins.app/
⇔
nhà cái OPEN88
⇔
mb66
⇔
789win
⇔
XX88
⇔
Tài xỉu online
⇔
CM88
⇔
888b link
⇔
5588aa.info
⇔
u888
⇔
nổ hũ
⇔
kèo nhà cái
⇔
nohu
⇔
F168
⇔
https://fun88.supply/
⇔
77win
⇔
https://gameb52a.club/
⇔
https://taixiuonl.com/
⇔
https://new88.biz/
⇔
https://new88.market/
⇔
NK88
⇔
TG88
⇔
xx88
⇔
https://cm88.bio/
⇔
nk88
⇔
XX88
⇔
ev88
⇔
sunwin
⇔
c168
⇔
33win
⇔
TT88
⇔
hm88
⇔
23win
⇔
68gamebai
⇔
SC88
⇔
U9win
⇔
kjc
⇔
789P
⇔
GO99
⇔
NOHU90
⇔
go99
⇔
https://sh-bet.com/
⇔
GG88
⇔
https://new88ok.com/
⇔
qq88
⇔
90phut
⇔
Hay88
⇔
Hay88
⇔
https://hay88.press/
⇔
Hay88
⇔
https://hay88app.com/
⇔
Hay 88
⇔
Rikvip
⇔
Sao789
⇔
789club
⇔
https://rr88co.net/
⇔
https://78wincom.net/
⇔
G28
⇔
https://789clubze.win/
⇔
JBO
⇔
ko66
⇔
https://rr88.auction/
⇔
XX88
⇔
https://789clubs.properties/
⇔
88FC
⇔
gg88
⇔
mv66
⇔
win678
⇔
https://lodeonline2.org/
⇔
https://top10trangcacuocbongda.com/
⇔
789 win
⇔
https://78win.love/
⇔
https://78win.soccer/
⇔
cakhiatv
⇔
https://ae888bet1.com/
⇔
ko66
⇔
TT88
⇔
https://taixiuonlinevn.co/
⇔
https://cm88bet.us/
⇔
new88.com
⇔
https://e2bet2025i.com
⇔
RR88
⇔
tt88
⇔
https://xx88.forex/
⇔
https://hitclub68.cn.com/
⇔
https://b52.co.bz/
⇔
https://789club1.cn.com/
⇔
https://7mcn.deal/
⇔
https://cm88viet.com/
⇔
https://cm88.buzz/
⇔
OPEN88
⇔
789bet
⇔
https://bet88.limited/
⇔
sc88
⇔
cm88
⇔
go99
⇔
GG88
⇔
https://78winn.co/
⇔
SHBET
⇔
https://fly88.in/
⇔
NK88
⇔
https://ok99.tw/
⇔
QS88
⇔
LV88
⇔
sunwin
⇔
bong da truc tiep
⇔
xoilac link
⇔
Xoilac Live
⇔
8kbet
⇔
AO88
⇔
f168
⇔
hz88
⇔
Ga6789
⇔
https://78win78.us.org/
⇔
https://79kings.blue/
⇔
https://f1688.world/
⇔
https://sc88.gold/
⇔
https://sc88.training/
⇔
Xoilac
⇔
33win
⇔
https://ok9bet.net/
⇔
https://nohu90.free/
⇔
888top
⇔
https://socolivesss.cc/
⇔
98WIN
⇔
https://ketquabongda.co.bz/
⇔
https://keonhacai55.mobile/
⇔
ok9
⇔
https://ok8386.money/
⇔
SHBET
⇔
https://ok8386.finance/
⇔
MM88
⇔
https://mb66ac.com/
⇔
f168
⇔
ae888
⇔
sam86
⇔
https://sc88.archi/
⇔
https://33win1.org/
⇔
SHBET
⇔
78Win
⇔
K88
⇔
88i
⇔
88AA
⇔
Rikvip
⇔
ww88
⇔
789P
⇔
PG99
⇔
cm88
⇔
79King
⇔
https://ok9.farm/
⇔
ev99
⇔
https://68win.gb.net
⇔
https://sunwin.town/
⇔
GO8
⇔
Rikvip
⇔
Go88
⇔
Hitclub
⇔
Game bài
⇔
99OK
⇔
BL555
⇔
https://98win9.bid/
⇔
58WIN
⇔
j188
⇔
188v
⇔
z188
⇔
g28
⇔
rr99
⇔
https://pg8868.live/
⇔
tk88
⇔
bóng đá trực tiếp
⇔
fly88 select
⇔
f168
⇔
OPEN88
⇔
HM88
⇔
Xin88
⇔
https://xocdiaonline.ae
⇔
Sumclub
⇔
luongson117.tv
⇔
Go8
⇔
https://cm88.dad/
⇔
https://sc88e.net/
⇔
https://sc88.bio/
⇔
OPEN88
⇔
https://kp88.food/
⇔
good88
⇔
https://cm88mobi.mobi/
⇔
98win
⇔
OPEN88
⇔
S8
⇔
BL555
⇔
888TOP
⇔
mb88
⇔
hi88
⇔
https://cm88betjuara.vip/
⇔
789bet
⇔
https://shbetz.net/
⇔
Sunwin
⇔
au88
⇔
shbet
⇔
https://b52win.fun/
⇔
NOHU90
⇔
https://cm88bets.pro/
⇔
23win
⇔
https://ga6789.gr.com/
⇔
https://siu88.gb.net/
⇔
https://qq88.shiksha/
⇔
https://rr88.link/
⇔
new888
⇔
https://tg888.jp.net/
⇔
trực tiếp bóng đá
⇔
33win
⇔
88m
⇔
cm88 com
⇔
https://c168.media/
⇔
https://doisotrungthuong.com/
⇔
https://luongson161.tv/
⇔
rr88
⇔
https://luongsontv37.com/
⇔
https://keobongda.com/
⇔
https://c168b.com/
⇔
bongdalu
⇔
https://jun88ld.com/
⇔
luck8
⇔
https://sc88.charity/
⇔
hi88com
⇔
sunwin
⇔
7MCN
⇔
https://ga6789.love
⇔
hi88
⇔
RS99
⇔
U888
⇔
KK55
⇔
uu666
⇔
Tài Xỉu
⇔
Kèo Nhà Cái
⇔
bl555
⇔
BL555
⇔
https://new88.webcam/
⇔
ok365
⇔
56w
⇔
888NEW
⇔
https://rikvip7.it.com
⇔
https://tg88.gold/
⇔
xin88
⇔
BET88
⇔
uu88
⇔
23win
⇔
fb88
⇔
https://lv88.blog/
⇔
đá gà thomo
⇔
trực tiếp đá gà
⇔
https://jun88.school/
⇔
https://go88m.online/
⇔
https://sao789.host/
⇔
https://hitclub.cymru/
⇔
https://8day.mobile/
⇔
https://sunwin.adult/
⇔
https://thabet.now/
⇔
7MCN
⇔
bongdalu
⇔
https://tg88be.com/
⇔
TA88
⇔
https://debet.br.com/
⇔
DEBET
⇔
ABC8
⇔
hitclub
⇔
nổ hũ
⇔
u888
⇔
https://king88.wiki/
⇔
KK55
⇔
KK55
⇔
UU666
⇔
BL555
⇔
bong88
⇔
LUCK8
⇔
XX88
⇔
xoso66
⇔
ae888
⇔
888vnd
⇔
Tài Xỉu
⇔
789club
⇔
https://ketquabongdaa.io/
⇔
https://lc88net.com/
⇔
78win
⇔
https://sc8844.com/
⇔
https://sc88e.net/
⇔
https://lv88.today/
⇔
https://kp88vip.com/
⇔
https://79king.legal/
⇔
https://new88.help/
⇔
trang chủ ok8386
⇔
https://sc88.group/
⇔
https://fly88.deal/
⇔
https://sc88.locker/
⇔
https://sc88.social/
⇔
F168
⇔
SC88
⇔
https://f168.tech/
⇔
O8
⇔
https://mm88.se.net/
⇔
O8
⇔
O8
⇔
https://go88vi.br.com/
⇔
SUN WIN
⇔
bet88
⇔
cm88
⇔
ax88
⇔
go99
⇔
Fun88
⇔
bl555
⇔
BL555
⇔
BJ38
⇔
Nhà cái ok8386
⇔
https://uu88.br.com/
⇔
https://iwinclub.br.com/
⇔
C168
⇔
Sunwin
⇔
https://78winel.com/
⇔
https://alo789.co.com/
⇔
tv88
⇔
789P
⇔
KK55
⇔
KK55
⇔
BL555
⇔
BL555
⇔
https://u888wl.com/
⇔
88bet
⇔
https://hi88.biz/
⇔
ga65
⇔
E2win
⇔
go99
⇔
Lucky88
⇔
UU88
⇔
https://hi88s.com/
⇔
https://bet88vn.agency/
⇔
https://debet.se.net/
⇔
keo nha cai
⇔
uy88
⇔
BL555
⇔
mb88
⇔
888vnd.com
⇔
xz88
⇔
E2BET
⇔
mmoo
⇔
https://99okvip.top
⇔
Trang chủ ok8386
⇔
888now
⇔
thabet
⇔
bj88
⇔
https://lc88app.com/
⇔
tg88
⇔
kubet
⇔
https://s8.auction/
⇔
https://sx8868.com/
⇔
https://lx88.guru/
⇔
https://hitclub88.studio/
⇔
https://fzf168.com/
⇔
Sun Win
⇔
rr88
⇔
U888
⇔
nổ hũ
⇔
68win
⇔
Bj888
⇔
https://jun88.now/
⇔
ABC8
⇔
NK88
⇔
i9bet
⇔
sunwin
⇔
https://79king2.sa.com/
⇔
EV88
⇔
12bet
⇔
sumclub
⇔
iwin68 club
⇔
onbet
⇔
https://kuwinn.living/
⇔
https://vn88.cn.com/
⇔
https://nohu90sh.com/
⇔
b52 club
⇔
https://open88.dev/
⇔
88xx
⇔
MB66
⇔
uy88
⇔
vip66
⇔
https://xx88.se.net/
⇔
hm88
⇔
AX88
⇔
au88
⇔
E28BET
⇔
https://sunwin28.bz/
⇔
https://facebook.africa.com/
⇔
https://sc88ad.com/
⇔
ao88
⇔
dn88
⇔
https://b52club.pizza
⇔
https://hitclub9.online
⇔
https://frasimondo.com
⇔
fly88 uno
⇔
777x
⇔
https://taixiu.ae/
⇔
58win
⇔
Fun88 Viet
⇔
https://pg666.de.com/
⇔
https://qs88.work/
⇔
https://98win09.space/
⇔
GO88
⇔
789club
⇔
https://fabet.se.net/
⇔
https://33win88.co/
⇔
uu666
⇔
KK55
⇔
BL555
⇔
uu666
⇔
KK55
⇔
BL555
⇔
bl555
⇔
KK55
⇔
BL555
⇔
kk55
⇔
kk55
⇔
kk55
⇔
ex88 link
⇔
https://nohu88.eu.com/
⇔
https://i9bet.com.vc/
⇔
dn88
⇔
tài xỉu online
⇔
789bet
⇔
hi88
⇔
qq88
⇔
https://uy88.net
⇔
fly88 com
⇔
NK88
⇔
BL555
⇔
KK55
⇔
hq88
⇔
lc88
⇔
88clb
⇔
qq88
⇔
ao88
⇔
LUCK8
⇔
TG88
⇔
TR88
⇔
KK55
⇔
BL555
⇔
BL555
⇔
tài xỉu online
⇔
trực tiếp bóng đá
⇔
bj66
⇔
red88
⇔
sunwin
⇔
Nk88
⇔
Mv88
⇔
8kbet
⇔
https://gamenohu.it.com
⇔
https://8xbet8.design
⇔
https://nguoidepsaigon.com/
⇔
luck8
⇔
https://tai68gamebai.net/
⇔
888vnd
⇔
https://nohu.business/
⇔
C168
⇔
https://ssv88.org/
⇔
xuonginthanhpho.com
⇔
qs88
⇔
dn88
⇔
https://sunwin86.net/
⇔
LV88
⇔
f168
⇔
UY88
⇔
new88.love
⇔ ⇔
© Copyright Sách Giải.com
Bạn đã không sử dụng Site,
Bấm vào đây để duy trì trạng thái đăng nhập
. Thời gian chờ:
60
giây
Đăng nhập
Đăng ký
Hãy đăng nhập thành viên để trải nghiệm đầy đủ các tiện ích trên site
Nhập mã xác minh từ ứng dụng Google Authenticator
Thử cách khác
Nhập một trong các mã dự phòng bạn đã nhận được.
Thử cách khác
Đăng nhập
Quên mật khẩu?
Để đăng ký thành viên, bạn cần khai báo tất cả các ô trống dưới đây
Giới tính
N/A
Nam
Nữ
Bạn thích môn thể thao nào nhất
Món ăn mà bạn yêu thích
Thần tượng điện ảnh của bạn
Bạn thích nhạc sỹ nào nhất
Quê ngoại của bạn ở đâu
Tên cuốn sách "gối đầu giường"
Ngày lễ mà bạn luôn mong đợi
Tôi đồng ý với
Quy định đăng ký thành viên
Đã đăng ký nhưng không nhận được link kích hoạt?